
什么是LDA模型
在机器学习和自然语言处理领域,LDA(Latent Dirichlet Allocation)模型是一种统计模型,用于对文本集合进行主题建模。它是一种生成式模型,可以将一篇文档表示为多个主题的混合。
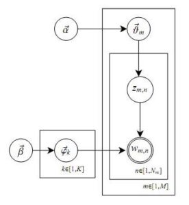
LDA模型的基本假设是每个文档由多个主题组成,并且每个主题有一定的概率。通过对文本集合中词语的分布进行统计,LDA模型可以推断出每个文档的主题分布以及每个主题的词语分布。p
具体来说,LDA模型将文本集合表示为一个主题-词语的二维矩阵,其中每行代表一个文档,每列代表一个单词。矩阵中的每个元素表示单词在文档中出现的频率。LDA模型通过迭代算法,对文档的主题分布和单词的主题分布进行估计。
LDA模型的应用非常广泛。例如,在文本挖掘领域,可以将LDA模型用于主题分析、情感分析、文本分类等任务。在信息检索领域,LDA模型可以用于构建文档的索引或者对查询进行扩展。在社交网络分析领域,LDA模型可以用于发现用户的兴趣和关系。
此外,LDA模型还有一些变种模型,如Dynamic Topic Models(DTM),用于对文本集合中主题的演化进行建模。另外,LDA模型也可以与其他机器学习算法结合,用于解决更复杂的问题。
总之,LDA模型是一种用于对文本集合进行主题建模的统计模型。它可以帮助我们理解文本数据中隐藏的主题信息,为各种自然语言处理任务提供重要的支持。
什么是LDAP服务器?理解概念与功能
LDAP(Lightweight Directory Access Protocol)是一种用于访问和维护分布式目录服务的协议。LDAP服务器是运行LDAP协议的服务器软件,用于提供目录服务。p
目录服务是一种用于存储和组织数据的服务,类似于传统数据库。不同的是,目录服务更适用于存储大量的非关系型数据,如用户信息、组织结构、网络资源等。目录服务具有高效的读取和搜索功能,可以对数据进行快速检索。p
LDAP服务器基于客户-服务器模式工作。客户端通过LDAP协议与LDAP服务器通信,进行数据的读取、修改和搜索等操作。LDAP服务器以树状结构组织数据,类似于文件系统的目录结构,每个节点存储一个对象,如用户、组、设备等。p
LDAP服务器具有以下功能:
1. 高效的数据访问:LDAP服务器使用索引和缓存等机制,提供快速的数据读取和搜索功能。这对于大规模的目录服务尤为重要。p
2. 安全性和访问控制:LDAP服务器支持身份验证和访问控制机制,可以对用户进行身份验证和授权。同时,LDAP服务器还可以提供安全连接(如TLS/SSL)来保护数据传输的安全性。
3. 数据复制和同步:LDAP服务器支持数据的复制和同步,可以在多个服务器之间实现数据的备份和共享。这对于保证系统的高可用性和数据的一致性非常重要。p
4. 扩展性和灵活性:LDAP服务器支持高度可配置和扩展的架构,可以根据应用需求进行定制和扩展。同时,LDAP服务器还提供了丰富的API和工具,方便开发人员进行集成和开发。p
LDAP服务器广泛应用于企业网络、互联网服务和身份认证等领域。它提供了高效、安全和可靠的目录服务,为各种应用和系统提供了重要的基础











暂无评论内容